Doğrusal olmayan analizler için modal spektral analiz ile modal titreşim analizi arasındaki farklar
Sismik kütle hesaplaması
Modal spektral analizde, yapının sismik kütlesini hesaplamak için, yapıya etki eden yerçekimi yükleri belirli bir doğrusal olmayan kombinasyonda analiz edilir ve öz ağırlık ve ölü yükün %100’ü dikkate alınır. Kullanım ve kar aşırı yüklerinin yüzdesi ise programın sismik panelinde belirlenen kalıcı yük olarak kabul edilir.
Modal titreşim analizinde, yalnızca analiz edilen yük durumunda yer alan yerçekimi niteliğindeki yüklerin kütle amaçlarına katkıda bulunduğu kabul edilir ve bu, söz konusu durumun kombinasyon katsayılarıyla yapılır.
Kütlelerin etki ettiği yön
Modal titreşim analizinde, her yük durumu için kütlelerin etki ettiği yön tanımlanmalıdır. Program aşağıdaki seçenekleri sunar:

İlk seçenekte, kütleler global öteleme X ve Y yönlerinde ve global Z ekseni etrafında dönerek hareket eder. İkinci seçenekte ise, kütleler global öteleme Z yönünde ve global X ve Y eksenleri etrafında dönerek hareket eder.
Bu ayarlar kütle matrisini değiştirerek, yapılan seçime bağlı olarak farklı modal şekiller ve frekanslar oluşturur.
Modal spektral analizde, program kütlenin tüm öteleme ve dönme yönlerinde dikkate alındığı bir modeli analiz eder; bu durum, her iki seçeneğin de işaretlenmesine eşdeğerdir. Modlar analiz edildikten sonra, programın yalnızca öteleme serbestlik dereceleri X ve Y ve dönme serbestlik dereceleri Z’ye göre kütleyi harekete geçiren modları tutmasını sağlayan bir filtre uygulanır. Bu şekilde, doğrusal ve doğrusal olmayan modal spektral analiz arasında bir analoji elde etmek için ilerliyoruz, çünkü CYPE 3D’nin doğrusal analizinde program serbestlik derecelerini yoğunlaştırarak yalnızca öteleme serbestlik dereceleri X ve Y’yi dikkate alır.
Modal formların ölçeklendirilmesi
Modal titreşim analizindeki her mod için program, modun maksimum global yer değiştirmesinin 1’e eşit olduğu ölçeklendirilmiş bir modal şekil {φ} temsil eder:


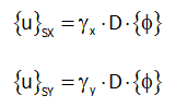
Modal spektral analizde, dikkate alınan her sismik yük için, modal şekil bir mod faktörü ile çarpılır, böylece modal deformasyon şu şekilde olur:

Burada:
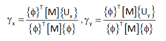
γi: “i” yönündeki modal paylaşım faktörü:

- Burada {Ux} ve {Uy}, dinamik modelin GDL’sine eşit boyutta, X ve Y çeviri yönündeki serbestlik derecelerine göre olanlar hariç tüm bileşenleri sıfır olan vektörlerdir; bunlar sırasıyla birliğe eşit olacaktır ve [M] kütle matrisidir.
D: modun spektral kayması
- D = A/ω2, burada
- A: modun spektral ivmesi
- ω = 2π/T, burada T modun periyodudur
{φ}: modal form (otomatik vektör)
Bu elastik deformasyonlar, {u}SX ve {u}SY, elastik olmayan yer değiştirmeyi hesaba katmak için karşılık gelen süneklik veya yer değiştirme faktörü ile çarpılmalıdır.




















